康比電子roducts
國產晶振
臺產晶振
進口晶振
- 日本大真空晶振
- 愛普生晶振
- 精工晶振
- 西鐵城晶振
- 村田晶振
- 進口KSS晶振
- NDK晶振
- 大河石英晶振
- 美國CTS晶振
- 微晶晶振
- Abracon晶振
- ECS晶振
- Golledge晶振
- IDT晶振
- Jauch晶振
- Pletronics晶振
- 拉隆晶振
- SiTime晶振
- Statek晶振
- 格林雷晶振
- 康納溫菲爾德晶振
- 日蝕晶振
- 瑞康晶振
- 維管晶振
- AEK晶振
- AEL晶振
- Cardinal晶振
- Crystek晶振
- Euroquartz晶振
- FOX晶振
- Frequency晶振
- Geyer晶振
- KVG晶振
- ILSI晶振
- MERCURY晶振
- MMDCOMP晶振
- MtronPTI晶振
- QANTEK晶振
- QuartzCom晶振
- Quarztechnik晶振
- Suntsu晶振
- Transko晶振
- Wi2Wi晶振
- Fujicom晶振
- Interquip晶振
- ITTI晶振
- Lihom晶振
- MTI晶振
- NAKA晶振
- Oscilent晶振
- PDI晶振
- Rubyquartz晶振
- Shinsung晶振
- SMI晶振
- CTECH晶振
- IQD晶振
- Microchip晶振
- NJR晶振
- Silicon晶振
- Anderson晶振
- Fortiming晶振
- CORE晶振
- NIPPON晶振
- NICKC晶振
- QVS晶振
- Bomar晶振
- Bliley晶振
- GED晶振
- FILTRONETICS晶振
- STD晶振
- Q-Tech晶振
- Wenzel晶振
- NEL晶振
- EM晶振
- PETERMANN晶振
- FCD-Tech晶振
- HEC晶振
- FMI晶振
- Macrobizes晶振
- AXTAL晶振
- Sunny晶振
- 瑞薩Renesas晶振
- SKYWORKS晶振
- Dynamic迪拉尼晶振
車載電子
數碼電子
智能家居
時計產品
無線網絡
智能穿戴
醫療器械
無人機
0755-27876201
常見問題
更多>>.jpg)
壓控溫補振蕩器DSA321SCL,有源晶振電壓,晶振型號應用:SDH/ SONET,以太網,基站,筆記本晶振應用,“1XTV26000FMC”, VCXO,壓控晶體應用:調制解調器,ADSL網絡控制器,無線基站,程控交換設備智能手機,筆記本晶振等符合RoHS/無鉛.
.jpg)
| 料號 | DSA321SCL | ||||
| 頻率范圍 | 9.6~52MHZ | ||||
| 負載電容 |
7pf 8pf 9pf 10pf 12pf 20pf |
||||
| 勵振ベ | 10μW (200μW max.) | ||||
| 周波數偏差 | ±30×10−6,±50×10−6,±100×10−6 (at 25℃) | ||||
| 直列抵抗 | 300Ωmax | 200Ωmax | 150Ωmax | 120Ωmax | 100Ωmax |
| 周波數溫度特性 | ±50×10−6/ー40~+85℃ (Ref. to 25℃ ) | ||||
| ±100×10−6/ー40~+125℃ (Ref. to 25℃ ) | |||||
| ±200×10−6/ー40~+150℃ (Ref. to 25℃ ) | |||||
| 保存溫度范圍 | ー40~150℃ | ||||
| 信頼性仕様 | AEC-Q200 | ||||
| 電壓 | 1.8V 2.5V 3.3V 5V | ||||
.jpg)

.jpg)
等效串聯阻抗 ( Equivalent Series Resistance , ESR)
當石英晶體串聯振蕩在fs時, C1及L1是相反相位而互相抵消, “1XTV26000FMC”,整個共振子的動態支臂(motional arm) 的導納(admittance)是接近最小阻抗值R1. 這時候整個石英晶體共振子的表現僅是一個電阻性的組件. 電阻值R1是整個組件的機械性能量損耗. 其中包含了石英材料, 接著材料及封裝材料上所有的能量損耗.
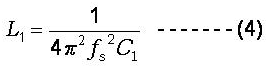
動態電容( Motional Capacitance C1 ) 及動態電感( Motional Inductance L1 ):
在公式一中, ,動態電容C1及動態電感L1與串聯偕振頻率, fs ,是相互關聯的.在實際的量測系統中, 我們祇能量測到動態電容C1及串聯協振頻率fs . 動態電感L1是由公式(4)計算得到.
1959大和喀左長谷川在神戶市成立加工電子零件和石英晶體.1965開始批量生產的晶體諧振器零件.
1970東京辦事處.
1976打開宮崎廠(目前九州大真空公司)為音叉型石英晶體諧振器生產.
1981建立大真空(香港)公司開始提供音叉型石英晶體諧振器的香港和中國市場.
1985開德島第二廠開始生產陶瓷產品打開配送中心在加古川市.
1989更改公司名稱大真空第三十周年.建立了PT.KDS印度尼西亞啟動海外生產晶體諧振器.
1996取得ISO9001(國際標準化組織質量管理標準).
2001擴大生產規模天津該公司地板
2003成立上海銳致國際貿易有限公司加強在中國的銷售.以和諧電子公司為本公司合并的子公司加強石英器件業務.
2010建立大真空(泰國)有限公司
2012擴大在加古川市中央實驗室的地板尺寸.
大真空晶體承諾所有的運作皆遵守本地國家的法律,“1XTV26000FMC”,并符合國際上所共同認知環保與社會責任的標準,成為一個創造股東最大權益、照顧員工、善盡社會責任的好公司. 我們將持續關注企業社會責任各項新議題,使本公司更加完整并落實企業社會責任所有面向. 對內,我們將透過各種教育訓練與活動,用心創造一個多元且充滿活力的工作環境 (例如健康促進活動); 對外,本公司透過與利害相關團體間的溝通,積極落實企業社會責任活動,持續投入社會公益,降低對社會環境之沖擊.
1、技術支持:全方位技術指導,專業的技術支持讓您感受到前所未有的后顧無憂.
2、客服咨詢:專業的銷售團隊,耐心為您解答任何疑問,讓您的消費得到保障.
3、質量保證,誠信為本,上我司以“以科技為動力,以質量求生存,”為理念.
4、提升業績,降低成本為您的產品量身訂制,免費取樣,為您做到低成本,高效率.
3、質量保證,誠信為本,上我司以“以科技為動力,以質量求生存,”為理念.
4、提升業績,降低成本為您的產品量身訂制,免費取樣,為您做到低成本,高效率.

康比電子聯系方式:
Q Q: 577541227
電 話:0755-27876201
手 機: 13728742863
Email: kangbidz@163.com
網 址: http://www.nhthj.cn/
地 址: 廣東省深圳市寶安區41區33棟6層
Q Q: 577541227
電 話:0755-27876201
手 機: 13728742863
Email: kangbidz@163.com
網 址: http://www.nhthj.cn/
地 址: 廣東省深圳市寶安區41區33棟6層






